Von Oliver Voitl und Alfred Morlock
Am 18. April ist die überarbeitete und erweiterte Vergabeverordnung (VgV) in Kraft getreten. Sie ersetzt die bisherigen Vergabeordnungen für freiberufliche Leistungen (VOF) sowie für Lieferleistungen (VOL). Nur die bisherige VOB/A bleibt erhalten. Die VgV betrifft für Planungsleistungen nur Vergaben oberhalb der Schwelle von derzeit 209.000 Euro. Hier hat sich für öffentliche Auftraggeber und für Auftragnehmer vieles geändert.
In der novellierten VgV sind für alle Vergabe-Arten fünf Verfahrensarten benannt. Es gibt jedoch einen eigenen Abschnitt 6 mit besonderen Vorschriften für die Vergabe von Architekten- und Ingenieurleistungen (§§ 73 bis 80). § 76 Abs. 1 gibt den wichtigen Hinweis, dass Architekten- sowie Ingenieurleistungen ausschließlich im Leistungs- und nicht im reinen Preiswettbewerb vergeben werden. § 74 sieht zwei Regelverfahren für die Vergabe von Planungsleistungen vor, die gleichberechtigt nebeneinanderstehen: das Verhandlungsverfahren nach § 17 – und leider auch den wettbewerblichen Dialog nach § 18.
Die Positionierung der Vergabeverfahren und der Eignungs- und Zuschlagskriterien vor dem Abschnitt mit den besonderen Vorschriften für die Vergabe von Planungsleistungen macht die Handhabung der Vergabeverordnung nicht gerade einfach, da man sich kreuz und quer durch die einzelnen Paragrafen zu kämpfen hat. Für eine rechtlich präzise Einordnung sollte das Gesetz gegen Wettbewerbsbeschränkungen (GWB) ebenfalls griffbereit liegen, allein schon, weil dort die im Rahmen eines Vergabeverfahrens bestehenden Rechtsschutzmöglichkeiten geregelt sind.
Auftragswert: Summen nicht addiert
Es bleibt bei der bisherigen getrennten Berechnung des Auftragswertes und den Regeln zur Addition „nur gleichartiger Leistungen“. So bleiben wesentlich mehr Aufträge unter den Schwellenwerten. Allerdings steht noch die Entscheidung eines Vertrags-Verletzungsverfahrens aus, in welchem seitens der EU-Kommission wieder der funktionale Zusammenhang aller freiberuflichen Leistungen bei der Berechnung des Auftragswertes gesehen wird. Setzt die EU-Kommission sich durch, werden die meisten Aufträge über dem Schwellenwert liegen.
Verfahren: zwei Wege – davon ein schlechter
Gemäß § 74 werden nun Planungsleistungen in der Regel im Verhandlungsverfahren mit Teilnahmewettbewerb nach § 17 oder im wettbewerblichen Dialog nach § 18 vergeben. Beide Verfahren sind nicht neu. Allerdings war in der VOF der wettbewerbliche Dialog aus gutem Grund nicht vorgesehen. Beide Verfahrensarten wurden zum Teil erheblich geändert. Neu ist bei beiden, dass mit der Bekanntmachung nicht nur wie bisher, alle Mindestanforderungen und Eignungskriterien zu benennen sind, sondern nun auch bereits zwingend alle Zuschlagskriterien und deren Wichtung. Zudem müssen alle Vergabeunterlagen unmittelbar bereitstehen, und zwar schon mit der Bekanntmachung.
Das Vergabeverfahren erfordert daher künftig eine noch sorgfältigere Vorbereitung durch die Vergabestelle und bietet mit der Veröffentlichung aller Kriterien den Bewerbern eine größere Transparenz.
Verhandlungsverfahren: weniger Bewerbungs-Aufwand
Hier hat sich das einleitende Bewerbungsverfahren geändert und verspricht – zumindest in der Theorie – weniger Aufwand für beide Seiten. Die Einheitliche Europäische Eigenerklärung (EEE) ist ein neues Formular, mit dem Bewerber die geforderte Eignung zunächst selbst erklären und nur später vom Auftraggeber ausgewählte Bieter die geforderten Eignungsnachweise unter Umständen vorzulegen haben. Der zum Zuge kommende Bieter muss in jedem Fall die geforderten Unterlagen beibringen. Dies ist ein Vorgriff auf die Zeit ab 2018, wenn alle Vergaben elektronisch erfolgen müssen. Die EEE ist zwar noch nicht zwingend vorgeschrieben, es dürfen aber Bewerber nicht ausgeschlossen werden, wenn sie diese verwenden. Auslober dürfen nur die in der EEE vorgegebenen Inhalte abfragen, keine weiteren. Es empfiehlt sich daher, entweder gleich die EEE zu verwenden oder zumindest ausschließlich deren Inhalte bei eigenen Formularen abzufragen.
Spannend wird künftig die Durchführung von Verhandlungsverfahren nach § 17
Hier werden aufgrund der Eignungskriterien ausgewählte Bewerber, die ihre Eignung nachgewiesen haben, aufgefordert, vor der Verhandlung ein Erstangebot zu den Zuschlagskriterien abzugeben. Die Vergabestelle kann dann, wenn sie sich das in der Bekanntmachung vorbehalten hat, auch sofort, „ohne in Verhandlung zu treten“, den Zuschlag erteilen. Der Verordnungsgeber hat aber deutlich zu verstehen gegeben, dass die Vergabe von Planungsleistungen meist die Notwendigkeit von tatsächlichen Verhandlungen in sich berge. Deswegen ist dieses verkürzte Zuschlagsverfahren in aller Regel bei der Vergabe von Architekten- und Ingenieurleistungen auch nicht möglich und trägt ohnehin eine erhebliche Gefahr der Willkür in sich. Nur nach einem vorgeschalteten Planungswettbewerb mag es sinnvoll sein, dass der Gewinner den Auftrag ohne zusätzliche Verhandlung erhält.
Nachdem die Erstangebote auf Einhaltung der Mindestanforderungen geprüft worden sind, kann über Erst- oder Folgeangebote in mehreren Phasen mit dem Ziel der „inhaltlichen“ Verbesserung verhandelt werden, gegebenenfalls könnten hier auch Lösungsvorschläge nach § 77 Abs. 2 zum Inhalt werden. Es darf aber weder über die Mindestanforderungen noch über die Zuschlagskriterien verhandelt werden, sodass mehrere Verhandlungsphasen vergaberechtlich angreifbar scheinen. Es empfiehlt sich also für den Auslober, nur einphasig zu verhandeln.
Neu ist nun, dass nach Abschluss der Verhandlung und einer Mitteilung an die verbliebenen Bieter diese zwingend die Möglichkeit haben müssen, ihre Angebote nochmals zu überarbeiten oder zu erneuern. So könnte sich das „Auftragsrad“ noch einmal drehen – nach Prüfen der Mindestanforderungen und Anlegen der (seit der Bekanntmachung unveränderten) Zuschlagsmatrix.
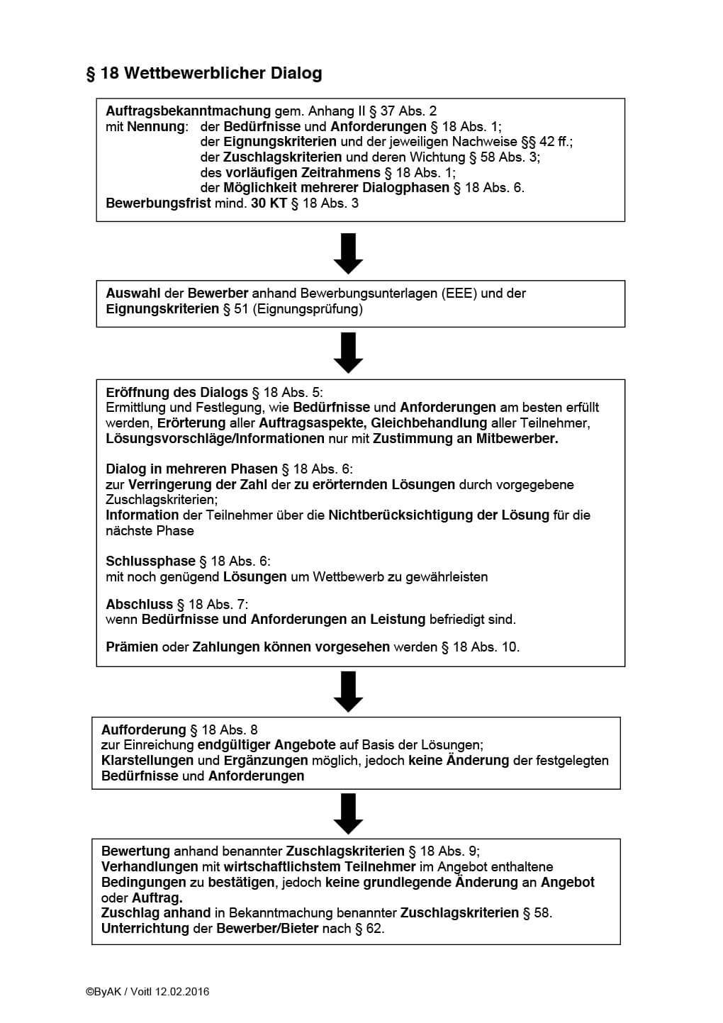
Wettbewerblicher Dialog: komplex und ungeeignet
Der Wettbewerbliche Dialog ist als Verfahren komplex und für die Vergabe von Planungsleistungen eigentlich ungeeignet. Sowohl die EU-Richtlinie über die öffentliche Auftragsvergabe 2014/24/EU (VRL) als auch der Verordnungsgeber selbst empfehlen ihn für „innovative Projekte, bei der Realisierung großer, integrierter Verkehrsinfrastrukturprojekte oder großer Computer-Netzwerke oder bei Projekten mit einer komplexen, strukturierten Finanzierung“ – aber nicht für Planungsaufgaben. Schon bei der Bekanntmachung muss der Auftraggeber Angaben zu Bedürfnissen und Anforderungen, der Eignungskriterien, der Zuschlagkriterien und deren Wichtung sowie dem vorläufigen Zeitrahmen machen. Der mehrphasig mögliche Dialog wird abgeschlossen, wenn der Auftraggeber die „Bedürfnisse und Anforderungen an die Leistung befriedigt hat“, das heißt, wenn er die Erkenntnis darüber gewonnen hat, was er eigentlich vergeben will. Ein Merkmal ist die gemeinsame Erarbeitung von Frage und Antwort.
Planungswettbewerbe: Auslober müssen prüfen
Planungswettbewerbe sind nun mit § 78 ein eigenständiger Baustein vor dem eigentlichen Vergabeverfahren nach § 17. Sie ersetzen die drei ersten in der Online-Grafik 1 dargestellten Schritte. Gemäß GWB § 103 Abs. 6 beginnt trotzdem mit der Wettbewerbsbekanntmachung nach Anhang IX § 70 der Rechtsschutz.
Bei den in § 78 Abs. 2 genannten Aufgaben müssen die Vergabestellen stets prüfen, ob ein Planungswettbewerb durchgeführt werden soll. Die Entscheidung müssen sie dokumentieren. Auch beim Planungswettbewerb muss der Auslober , wie beim Verhandlungsverfahren, den Bewerbern schon in der Bekanntmachung die Auswahl-, die Eignungs- und die Zuschlagskriterien und deren Gewichtung benennen.
Bei der Bewerbung zum Wettbewerb werden aber jetzt gemäß § 71 Abs. 3 zusätzlich eindeutige und nicht diskriminierende Auswahlkriterien festgelegt. Der Planungswettbewerb ist also nicht, wie in der VOF ehemals vorgegeben, Teil der Eignungsprüfung, sondern ist dieser vorangestellt. In der Praxis bedeutet dies, dass die Auswahlkriterien „niedriger“ als die Eignungskriterien angesetzt sein können beziehungsweise müssen, da nur die Preisträger die in der Bekanntmachung genannte Eignung nachweisen müssen – gegebenenfalls mit einer Eignungsleihe gemäß § 47, in der sie kooperierende Büros mit den geforderten Eigenschaften benennen. Gleichwohl sollten natürlich die an der Wettbewerbsteilnahme Interessierten nicht nur auf die Auswahlkriterien, sondern – wegen der Hoffnung auf einen Preis und die Auftragserteilung – auch auf die Eignungs- und Zuschlagskriterien schauen.
Eignungskriterien und Referenzen: Drei-Jahres-Frist sollte fallen
Zusätzlich zu den in Abschnitt 2 Unterabschnitt 5 der VgV aufgeführten Anforderungen an die Eignung werden diese im Besonderen für Architekten und Ingenieure nochmals in § 75 spezifiziert. Bei den Referenzen kann der Begrenzungszeitraum von drei Jahren nach § 46 Abs. 3 für die Vergabe von Planungsleistungen ausgeweitet werden. Dies ist allen Auslobern zu empfehlen: Gerade bei Architekten- und Ingenieurleistungen ist ein Zeitraum von drei Jahren zu kurz gegriffen und zeigt sich eine planerische Qualität nicht nur mit der Fertigstellung eines Referenzprojektes, sondern auch in der Nachhaltigkeit. Dies stützt auch die Begründung zu § 46 Abs. 3: „Im Bereich der Planungsleistungen von Architekten und Ingenieuren ist die Retrospektive auf drei Jahre häufig zu kurz für aussagekräftige Referenzen. Bei der Vergabe solcher Leistungen bietet sich die Einräumung eines längeren Zeitraums, aus dem die Referenzprojekte regelmäßig stammen dürfen, an. Bauprojekte und ihre Planung haben eine längere Laufzeit, was dazu führt, dass mögliche Referenzprojekte in den letzten drei Jahren noch nicht abgeschlossen sind.“
Für die Vergleichbarkeit von Referenzen ist es nun unerheblich, ob Bewerber bereits Objekte genau derselben Nutzungsart geplant oder realisiert haben (§ 75 Abs. 5). Eine Einschränkung auf Art, Größe und Kosten ist seit dem sogenannten „Feuerwachen-Urteil“ der Vergabekammer Lüneburg unzulässig. Verlangt werden können Projekte vergleichbarer Komplexität. Beispielhaft und nicht abschließend sei hier die Vergleichbarkeit hinsichtlich funktionaler und wirtschaftlicher Anforderungen, aber auch gestalterischer Ansprüche genannt.
Kleine und junge Büros: Auslober müssen Chancen geben
Hinsichtlich der Beteiligung von kleineren Büroorganisationen und Berufsanfängern nach § 75 Abs. 4 müssen Auslober die Eignungskriterien bei geeigneten Aufgaben zwingend so wählen, dass diese Berufsgruppen sich bewerben können. Im Umkehrschluss hat also die Vergabestelle eine Begründungs- und Dokumentationspflicht, warum eine Aufgabe für kleinere Büroorganisationen und Berufsanfänger nicht geeignet sein soll.
Mindestumsätze: Abfrage selten sinnvoll
Wenn von Bewerbern Angaben zu Mindestjahresumsätzen verlangt werden, dann darf diese Forderung nun gemäß § 45 Abs. 2 in der Regel das Zweifache des geschätzten Auftragswerts nicht überschreiten. Falls doch, muss dies von der Vergabestelle zwingend in den Vergabeunterlagen begründet werden. Nachdem die Umsatzabfrage nun vor den Abschnitt 6 der VgV gezogen wurde und von dieser Anforderung nicht zwingend Gebrauch gemacht werden muss, ist diese Abfrage nur in Ausnahmefällen sinnvoll, da die Angabe des Umsatzes wenig über die Qualität eines Bewerbers aussagt. Kritisch wäre auch zu sehen, wenn ein zweifacher Jahresumsatz schon bei kleineren Projekten gefordert würde.
Zuschlagskriterien: Qualifikation und Erfahrung zählen
Ehemals in der VOF als Eignungskriterien abgefragte Qualifikationen sind nunmehr Zuschlagskriterien im Sinne von § 58 Abs. 2 Nr. 2. Hier werden ausdrücklich die Organisation, die Qualifikation und die Erfahrung des mit der Ausführung vorgesehenen Personals als Kriterium zugelassen, wenn deren Qualität erheblichen Einfluss auf die zu vergebende Leistung hat. Ausdrücklich ist jetzt in § 58 Abs. 2 Satz 3 die Möglichkeit vorgesehen, einen Auftrag ausschließlich nach qualitativen Kriterien zu vergeben, wenn der Auftraggeber „Festpreise oder Festkosten“ vorgibt. In der Begründung betont der Verordnungsgeber, dass dies insbesondere dann gelten solle, wenn die Vergütung für bestimmte Dienstleistungen durch nationale Vorschriften festgelegt sei, was ja bei Architekten- und Ingenieurleistungen aufgrund der HOAI grundsätzlich der Fall ist. Demnach ist es gerade in diesem Bereich zukünftig nicht nur möglich, sondern sinnvoll, das Preis-Leistungs-Verhältnis ausschließlich auf der Grundlage anderer Faktoren als des Preises oder der Vergütung zu bewerten, sodass es einen reinen Leistungswettbewerb ohne jeglichen Preiswettbewerb bei der Auftragsvergabe geben kann.
Fazit: Auslober sind gefordert
Ob nun die Vergabeverfahren tatsächlich schneller, flexibler und anwenderfreundlicher werden, liegt in der Anwendung der oben genannten Möglichkeiten durch die Vergabestellen; einen möglichen Missbrauch von Eignungskriterien wird auch die VgV nicht verhindern. Es bleibt beim altbekannten Slogan: Es kommt darauf an, was man daraus macht.
Dipl.-Ing. Oliver Voitl ist Architekt und Stadtplaner in München und Referent für Vergabe und Wettbewerb der Bayerischen Architektenkammer. Alfred Morlock ist Rechtsanwalt in Stuttgart


